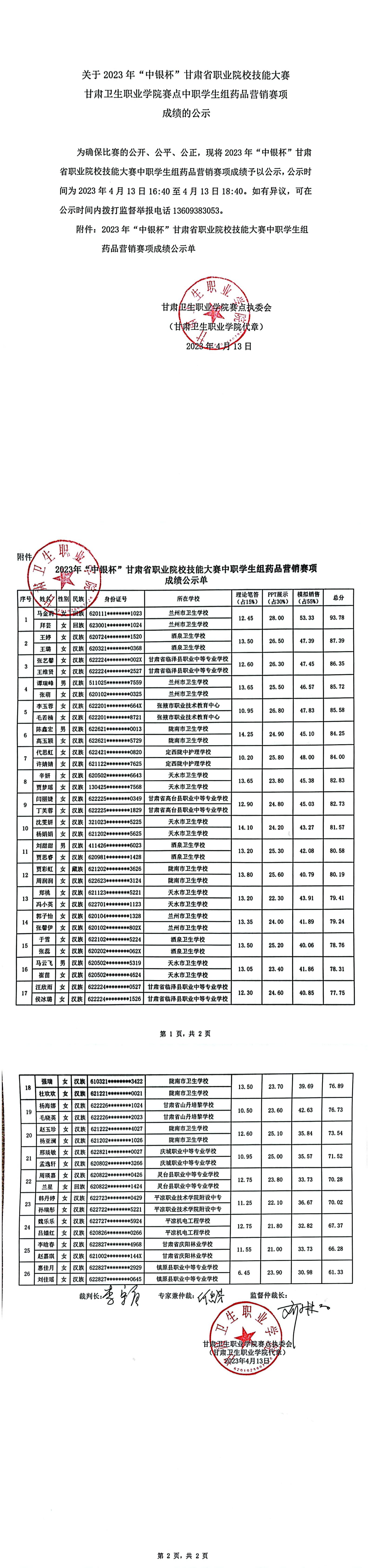
关于2023年“中银杯”甘肃省职业院校技能大赛KY开元集团官网赛点中职学生组药品营销赛项成绩的公示
发布时间:2023-04-13
点击数:13717


电话:0931-8265644
甘公网安备 62010202002035号Copyright © 中国·Ky开元集团(股份)有限公司官网. All Rights Reserved.
陇ICP备11000186号-1
